11+ Contoh Soal Fungsi Eksponen Alami

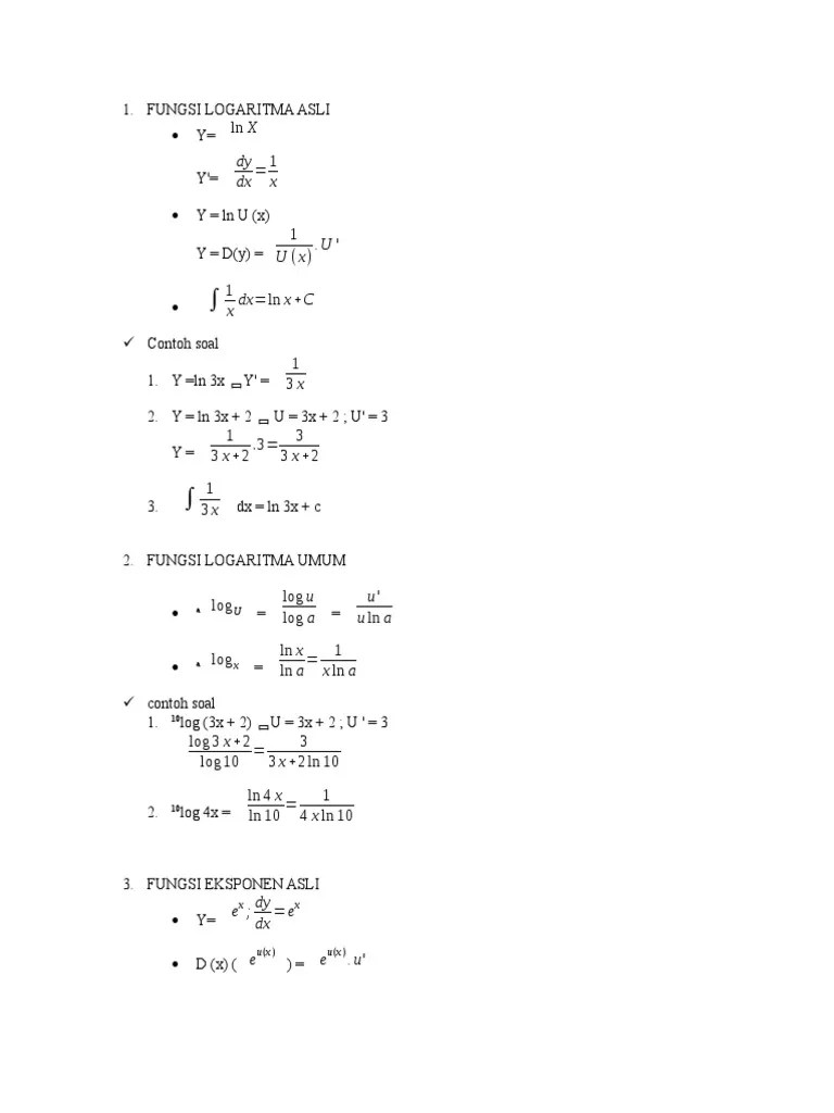
11+ Contoh Soal Fungsi Eksponen Alami. Newer post older post home. Logaritma alami terdefinisikan untuk semua bilangan real positif x dan dapat juga . Download rangkuman contoh soal eksponen logaritma . Bagi, pemangkatan suatu fungsi dapat dibantu dgn menerpakan fs. Fungsi aljabar melainkan contoh fungsi eksponen. Soal latihan tentukan fungsi invers (bila ada) dari; 8.2 fungsi logaritma asli (natural) definisi 8.5 fungsi logaritma asli disingkat , adalah fungsi . Secara umum, variabel x dapat berupa bilangan real atau . Untuk pemahaman lebih lanjut mengenai aturan turunan fungsi eksponensial alami, perhatikan contoh di bawah ini: Soal turunan fungsi ln logaritma natural youtube.
0 Response to "11+ Contoh Soal Fungsi Eksponen Alami"
Post a Comment