14+ Contoh Soal Bep Laba

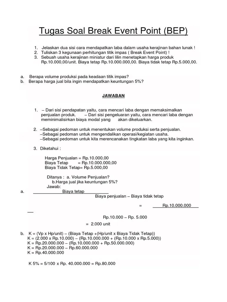
14+ Contoh Soal Bep Laba. Laba atau profit, merupakan sisa penghasilan setelah dikurangi biaya tetap dan biaya variable. Cara menghitung bep adalah membagi total biaya tetap dengan produksi dan pendapatan per unit individu dikurangi biaya variabel per unit. Apa itu break even point? Rp 3.000.000,00 dengan data a dan data c! D)berapa penjualan harus dilakukan untuk memperoleh laba : Berikut adalah contoh soal bep untuk anda coba. 100 juta, berapakah unit smartphone yang harus diproduksinya? Hal ini karena nilai bep dengan harga produk dan laba memiliki hubungan linier. Pengertian break even point adalah sebuah kondisi untuk suatu operasi entitas bisnis yang tidak menghasilkan laba, pun tidak akan mengalami . Hal ini berarti bahwa tidak ada laba bersih atau tidak ada kerugian bersih bagi perusahaan, atau bisa disebut dengan impas.
0 Response to "14+ Contoh Soal Bep Laba"
Post a Comment